Nature子刊:癌症克星!中国药科大学莫然团队开发新型纳米载体,克服肿瘤异质性并减少耐药性

原文始发于微信公众号(药时代):Nature子刊:癌症克星!中国药科大学莫然团队开发新型纳米载体,克服肿瘤异质性并减少耐药性

Nature子刊:癌症克星!中国药科大学莫然团队开发新型纳米载体,克服肿瘤异质性并减少耐药性
Nature子刊:癌症克星!中国药科大学莫然团队开发新型纳米载体,克服肿瘤异质性并减少耐药性
中国新药研发,我要“送你一朵小红花”!
随着科技进步和医学发展,许多令古代医师束手无策的疾病在当下都逐一被缓解,甚至彻底治愈。然而,癌症——作为“众病之王”,却仿佛一道难以攻克的天堑,至今仍未被人类所战胜。
值得庆幸的是,纳米技术的兴起和飞速发展为人类治愈癌症带来了新的曙光,并成为当今肿瘤治疗领域最热门的研究方向之一。当然,现有的针对肿瘤的纳米治疗方法仍存在有一定的缺陷,众多科研人员也在不断开发新的、更高效疗法。
2021年1月12日,中国药科大学天然药物活性组分与药效国家重点实验室莫然团队在Nature Nanotechnology上发表题为:A nanotherapeutic strategy to overcome chemotherapeutic resistance of cancer stem-like cells(克服肿瘤干细胞样细胞化疗耐药的纳米治疗策略)的研究论文。
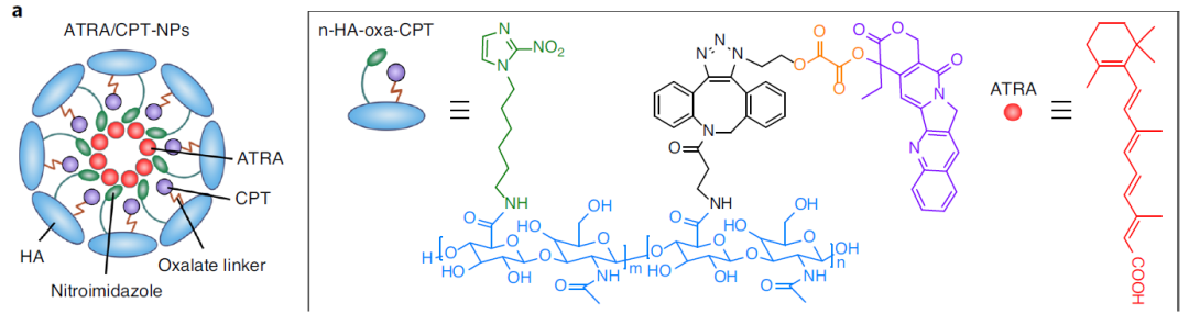
这项研究报道了一种新型纳米治疗策略——利用纳米颗粒共载分化诱导剂全反式维甲酸(ATRA)以及化疗药物喜树碱(CPT)——ATRA/CPT-NPs,以此杀死肿瘤中的肿瘤干细胞(CSCs)。这种双重策略使药物可以在肿瘤干细胞(CSCs)可控释放,减少干细胞相关耐药性,增强化疗反应
Nature子刊:癌症克星!中国药科大学莫然团队开发新型纳米载体,克服肿瘤异质性并减少耐药性
肿瘤异质性是癌症治疗的一大障碍。肿瘤组织包含着各种不同的细胞,它们具有不同的表型特征,对治疗有不同的敏感性。值得注意的是,肿瘤干细胞(CSCs)被认为是肿瘤异质性的决定性因素之一。
肿瘤干细胞具有自我更新、高致瘤性、侵袭性和对传统化疗和放疗的耐药性等特点,多项研究表明肿瘤干细胞(CSCs)的存在是多发性恶性肿瘤进展、复发和转移的罪魁祸首。由此看来,想要彻底治愈肿瘤,首当其冲就是要解决肿瘤干细胞问题。
在此项研究中,中国药科大学的研究团队提出了一种利用细胞分化调控的纳米药物来克服肿瘤干细胞(CSCs)衍生的肿瘤异质性治疗障碍的联合治疗策略:全反式维甲酸(ATRA)以及化疗药物喜树碱(CPT)被共载到一个纳米载体上。而此前的研究已经证实这两种药物药物具有肿瘤杀伤的协同效应。
Nature子刊:癌症克星!中国药科大学莫然团队开发新型纳米载体,克服肿瘤异质性并减少耐药性
ATRA/CPT-NPs由n-HA-oxa-CPT组成,并被ATRA物理包裹
十分巧妙的是,为了定制随需应变的药物释放行为,研究团队基于肿瘤干细胞(CSCs)在未分化和分化状态下的不同生理特性,设计了一种可随肿瘤干细胞(CSCs)分化状态变化而改变自身药物释放行为的纳米颗粒——ATRA/CPT-NPs
当肿瘤干细胞(CSCs)处于未分化状态时,全反式维甲酸(ATRA)在此缺氧条件下释放,并诱导肿瘤干细胞(CSCs)分化为非肿瘤干细胞细胞系,从而不断减少肿瘤组织的细胞干性和化疗耐药性。不仅如此,随着肿瘤干细胞(CSCs)的分化,线粒体的增加导致活性氧水平的升高,进而调控ATRA/CPT-NPs释放喜树碱(CPT),杀死肿瘤细胞。
Nature子刊:癌症克星!中国药科大学莫然团队开发新型纳米载体,克服肿瘤异质性并减少耐药性
ATRA/CPT-NPs可以对不同的细胞类型进行药物释放比例的自适应调整
简单来说,ATRA/CPT-NPs可以对不同细胞表型(包括CSCs和非CSCs)进行药物释放比例的自适应调整。并且,纳米颗粒中的ATRA和CPT具有协同效应——ATRA可以增强肿瘤干细胞(CSCs)对CPT的敏感性,并防止CPT胁迫诱导的细胞干性上调,以此最大化地消灭肿瘤组织中的肿瘤干细胞(CSCs)
Nature子刊:癌症克星!中国药科大学莫然团队开发新型纳米载体,克服肿瘤异质性并减少耐药性
ATRA和CPT在降低CSCs干性、缓解肿瘤缺氧以及抑制肿瘤细胞增殖上的协同效应
更令人信服的是,研究团队还发现ATRA/CPT-NPs能有效抑制小鼠模型中富含肿瘤干细胞(CSCs)的异质性乳腺肿瘤的生长、复发和转移,证实了ATRA/CPT-NPs具有十分光明的治疗应用前景!
对此,作者在论文中写道:“我们的研究发现为探索融合纳米治疗方法以克服肿瘤干细胞(CSCs)相关的化疗耐药性提供了一个有希望的视角!”
Nature子刊:癌症克星!中国药科大学莫然团队开发新型纳米载体,克服肿瘤异质性并减少耐药性
在小鼠模型中,ATRA/CPT-NPs抑制原发肿瘤的生长、复发和转移
总而言之,这项研究设计了一种巧妙且高效的纳米颗粒——ATRA/CPT-NPs,它可以根据肿瘤组织中肿瘤干细胞(CSCs)的分化状态而调整两种药物的释放比例,在杀死肿瘤细胞的同时,还能避免肿瘤干细胞(CSCs)导致的肿瘤异质性和耐药性问题,由此揭示了肿瘤治疗的新方向!
论文链接:
https://doi.org/10.1038/s41565-020-00793-0
Nature子刊:癌症克星!中国药科大学莫然团队开发新型纳米载体,克服肿瘤异质性并减少耐药性
END
版权声明/免责声明
内容为转载,仅供感兴趣的个人谨慎参考,非商用,非医用、非投资用。
版权归拥有者。衷心感谢!
文中图片取自网络,根据CC0协议使用,版权归拥有者。
任何问题,请与我们联系。衷心感谢!
Nature子刊:癌症克星!中国药科大学莫然团队开发新型纳米载体,克服肿瘤异质性并减少耐药性
推荐阅读


药时代,我们帮您找到理想的合作伙伴!
Nature子刊:癌症克星!中国药科大学莫然团队开发新型纳米载体,克服肿瘤异质性并减少耐药性

Nature子刊:癌症克星!中国药科大学莫然团队开发新型纳米载体,克服肿瘤异质性并减少耐药性Nature子刊:癌症克星!中国药科大学莫然团队开发新型纳米载体,克服肿瘤异质性并减少耐药性点击阅读原文,送我一朵小红花!

发布者:药时代,转载请首先联系contact@drugtimes.cn获得授权

打赏 为好文打赏 支持药时代 共创新未来! 为好文打赏 支持药时代 共创新未来!
上一篇 2021年1月28日 06:47
下一篇 2021年1月28日 06:48

相关推荐

公众号
公众号
分享本页
返回顶部