
正文共:3131字 7图
预计阅读时间:8分钟
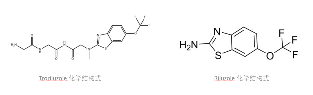
troriluzole为riluzole(利鲁唑)的三肽前体,属于谷氨酸盐调节剂。
此前,troriluzole获得了FDA的快速通道与孤儿药认证,欧盟的孤儿药认证。
该药可以通过血浆中的氨肽酶转化为利鲁唑,从而降低突触中的谷氨酸水平,达到神经保护的作用。

利鲁唑是一款神经保护剂,1995年被FDA批准用于ALS(渐冻症)的治疗。由于该药口服吸收差(生物利用度仅60%)、需要空腹服用、大剂量会导致肝损等不良特性,限制它在临床的广泛运用。
事实上,谷氨酸作为一种兴奋性神经递质,过量会导致神经元损伤或死亡。谷氨酸功能障碍涉及诸多疾病,包括肌萎缩侧索硬化 (ALS)、 SCA、阿尔茨海默病(AD)、抑郁症、强迫症(OCD)、慢性疼痛和各种癌症。
-
一项针对SCA3(脊髓小脑性共济失调3型)患者的关键性3期临床试验(BHV4157-206)的结果; -
一个复合量表(SCACOMS)的开发和分析,该量表是基于f-SARA和其他相关量表组合而成,用于评估troriluzole对SCA患者功能状态和生活质量的影响; -
两项长期开放标签(OLE)延伸研究(BHV4157-206和BHV4157-201)的数据。





同时,troriluzole另一项在强迫症的临床试验也进入3期阶段,如果进展顺利,也会影响对SCA适应症的批准,反之依然。

参考资料:
1.Biohaven官网
2.FDA官网
3.https://classic.clinicaltrials.gov
4.科研进展 | Biohaven公布Troriluzole治疗脊髓小脑性共济失调(SCA)的III期临床试验的最新进展(企鹅之家脊髓小脑关爱中心)
5.Johnston JL, Ross JS, Ramachandran R. US Food and Drug Administration Approval of Drugs Not Meeting Pivotal Trial Primary End Points, 2018-2021. JAMA Intern Med. Published online February 13, 2023. doi:10.1001/jamainternmed.2022.6444
6.其他公开资料

本篇文章来源于微信公众号: 药时代
发布者:haitao.zhao,转载请首先联系contact@drugtimes.cn获得授权
为好文打赏 支持药时代 共创新未来!