
前言

图1 经典的共价结合药物
长久以来,亲电性基团是药物开发中的雷区,因而在以往经典的药物化学教材中,总会建议避免在药物分子结构中引入此类官能团,如环氧、吖啶、Michael受体等,因为其具有的高反应性,可能会与多种生物大分子相互作用,引起严重的毒副作用。
早前的阿司匹林、兰索拉唑、氯吡格雷(图1)等在近年来的研究中发现,均以共价键形式与靶点作用。受此启发,共价型药物的开发慢慢进入人们的视野,在抗癌、抗病毒、糖尿病等多个领域内显现出了非共价结合药物难以匹及的优势,如疗效更为持久、治疗剂量更低等、不易产生耐药性等。
由于共价结合和非共价结合的作用机制不同,因而在研发过程采用传统的评价指标,如解离常数、IC50、EC50等,难以真正体现其效能与安全性,这主要是因为药物分子与靶点形成共价键受反应速率的影响,而非共价结合作用则仅是一个热力学平衡过程,在短时间内就能显现出化合物的活性,采用传统的评价指标往往会造成误判。
共价结合药物和天然产物

图2 具有亲电活性的天然产物
从天然产物中发现新的药物是新药开发项目中常见的策略,而且有很多药物都是基于这一方式发现的,如紫杉醇、喜树碱、吗啡等,另外一种方式则是对天然产物进行结构修饰,得到效果更佳的化合物,如从水杨酸到阿司匹林,从吗啡到美沙酮,据统计,临床上约占60%的药物都是基于上述策略得到的。
虽然共价结合药物是近几年才热门起来,在自然界中,这一概念却并不罕见,青霉素、焦土霉素、磷霉素等一些抗生素都是以共价键的形式与细菌中的目标靶点相互作用。利普斯他汀是一种从链霉菌中分离出来的胰脂酶不可逆抑制剂,基于此天然产物,Roche开发出新型减肥药奥利司他,诸如此类的例子还有很多。
以上诸多天然产物的实例证明,共价结合作用是药物设计中被忽视的宝地!药物靶点大多数都是蛋白质,其中丝氨酸、赖氨酸、半胱氨酸、组氨酸等残基中含有亲核活性官能团(羟基、巯基、氨基等),因而,蛋白质可以作为一个优良的亲核体,可以与具有亲电活性的基团发生作用,形成共价键。对于此类化合物的设计,最大的难点在于选择性,否则容易引起严重的副反应,造成开发失败。

图3 已上市共价结合药物(标黄处为活性反应位点)
目前,约30%以酶为靶点的药物采用共价结合形式,主要是因为这一设计理念是近几年才被接受,在此之前,活性反应基团是药物设计中尽可能避免的结构。特拉匹韦由Merck开发,在2011年获得FDA上市许可,通过与HCV蛋白酶中具有催化作用的丝氨酸残基(羟基)形成半缩醛,抑制其活性,从而实现抗病毒作用。最初该化合物在标准的IC50测试中,活性很差,几近放弃,然而在特别设计的活性测试中,则表现优异,特拉匹韦的研发历程深刻体现了在共价结合药物的研发中,需要一套与传统非共价结合药物开发不同的评价方法。
另外一个比较经典的例子是EGFR受体不可逆抑制剂阿法替尼的开发(2013年上市),其结构中的亲电活性基团丙烯酰胺与EGFR受体活性位点中的半胱氨酸残基(巯基)形成共价键,克服了第一代EGFR(吉非替尼、厄洛替尼等)受体抑制剂出现的耐药性问题,同时对非耐药性EGFR受体也表现出良好的活性。以上两个成功的例子证明了共价结合药物具有的潜力,另一方面,其研发过程也为共价结合药物的发展提供了宝贵的经验!
药物—靶点结合历程

图4 共价药物结合历程
与非共价结合药物相同的是,共价结合药物首先与靶点相互作用,形成药物-靶点结合物,由于此历程属于热力学过程,因而能够很快的达到平衡,其亲和力可以用解离常数Ki或者IC50等参数进行描述。不同之处在于,第二步共价键的形成,与第一步相比,共价键的形成速率相对较慢,且存在一个反应平衡常数Ki*,因而,共价结合物药物的总体结合情况需要考虑两个参数:Ki以及Ki*。当krea远远大于krev-rea时,反应平衡常数趋向无穷大,可视为不可逆共价结合,当krea与krev-rea相差并不是很大,即Ki*在一个合理的数值范围内,可视为可逆共价结合。
结合机理

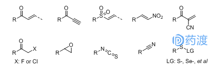
图5 常见活性官能团
药物靶点大多数都是蛋白质,由于其结构中富含羟基、巯基、氨基等官能团,因而本质上可以作为亲核试剂,共价结合化合物通常在结构中含有亲电性官能团,如Michael受体,环氧、卤素、羰基、异氰等结构(图5),可作为亲电体,两者相互反应形成新的共价键,其涉及到的反应类型主要有以下几种:酰化反应、烷基化反应、Michael加成、二硫键化、Pinner反应等,采用哪种共价键形成方式,取决于靶点结合位点的性质,总的来说,可以选择的余地较大。

图6 埃索美拉唑作用机理
2014年,美国十大畅销药中,其中之一为埃索美拉唑(消旋体为奥美拉唑)。奥美拉唑在1970年代被开发出来,经过若干优化和临床研究后,于1988年上市,两年后才发现其质子泵抑制作用是基于共价键形式的,奥美拉唑在靶点附近经在酸性条件下活化,形成活性亚磺酰胺衍生物活性产物,然后与靶点中的半胱氨酸残基(巯基)形成共价键,抑制胃酸的分泌。

图7 氯吡格雷作用原理
另一个畅销共价药便是氯吡格雷,它需要在肝脏内经P450氧化酶活化,生成含硫化合物,然后与P2Y12受体中的半胱氨酸残基形成二硫键,抑制血小板凝聚。上述两个药物目前应用非常广泛,而且在最初设计的时候并不是以共价键作用形式,只是在后来的机理研究中发现,是以共价键作用与靶点结合,产生不可逆的抑制作用。

图8 沙格列汀作用机理
含有氰基的化合物,通常在与蛋白中的亲核性官能团如羟基、巯基发生Pinner反应,形成亚胺酯键,通常该类共价键是可逆的,比较成功的例子如DPP4抑制剂沙格列汀和维格列汀等,用于II型糖尿病的治疗。除此之外还有奥当卡替,用于绝经后妇女骨质疏松症的治疗,但由于其潜在的中风风险,2016年Merck宣布放弃该化合物。
至于其他的几种共价结合机理,如烷基化、酰基化、Michael加成等,在此不一一列举,其本质都是生物大分子中的亲核性基团与药物分子中的亲电基团进行相互作用。
选择性的控制

图9 奥西替尼(泰瑞莎)的开发
共价结合药物的选择性至关重要!在选择性的问题上,目前比较常见的策略是,首先设计对目标靶点具有高度选择性非共价结合作用先导物,然后在此化合物的基础上,进行活性反应官能团的优化设计,即先找到合适的“弹壳”,然后再加装合适的“弹头”。
比较典型的例子如奥西替尼的开发,最初得到的先导化合物1在体外靶点结合实验表现出了优异的结合性,但是在细胞实验中其亲和性骤降了近70倍之多,可能是因为细胞中高浓度ATP与其竞争性的靶点结合所导致的,因而采用不可逆的共价结合作用策略,成功开发出第三代肺癌靶向药奥西替尼,该药于2017年获得FDA和欧盟的上市许可,同年获得CFDA的上市许可。
除上述提及的策略外,还可以通过人体不同组织的理化特性实现选择性,如奥美拉唑,由于其需要在强酸性条件下才能活化,因而可以选择性的作用于质子泵。

图10 非共价作用稳定的共价药物设计
另外,通过精心设计的亲电性基团也能实现选择性。如图10所示,α-氰基取代丙烯酰胺与巯基的Michael加成为可逆过程,在特定的靶点中,由于其他氨基酸残基的非共价作用,可以稳定该加成产物,而其他非目标靶点不能实现该效应,从而实现选择性,当然该策略需要有非常强的生物信息学支撑,否则难以实现。
毒性问题
虽然共价结合药物设计策略目前日趋成熟,但其风险仍然不容小觑,尤其是不可逆的共价结合作用。由于小分子化合物与靶点形成新的共价键,因而会导致蛋白结构的变化,存在免疫反应的可能性,但此类报道较为罕见。脱靶效应也是引起毒性的重要原因,针对此问题,提高化合物的选择性以及较低的治疗剂量是行之有效的解决方案。
小结
目前大多数的共价结合药物集中在抗癌领域,但是随着技术和理论的日趋成熟,此类药物将在越来越多的疾病领域大显身手。
图片如有侵权,请联系删除
参考资料
1、Cesco, Stephane De, et al. “Covalent inhibitors design and discovery.” European Journal of Medicinal Chemistry 138(2017):96-114.
2、Rand M. Miller, Ville O. Paavilainen, Shyam Krishnan, Iana M. Serafimova, Jack Taunton. “Electrophilic Fragment-Based Design of Reversible Covalent Kinase Inhibitors.” Journal of the American Chemical Society 135.14(2013):5298.
3、Baillie, Thomas A. “Targeted Covalent Inhibitors for Drug Design.” Angewandte Chemie International Edition 55.43(2016):13408-13421.
4、Lagoutte, R, R. Patouret, and N. Winssinger.”Covalent inhibitors: an opportunity for rational target selectivity.” Current Opinion in Chemical Biology 39(2017):54-63.
5、Ward, R. A., et al. “Structure- andreactivity-based development of covalent inhibitors of the activating andgatekeeper mutant forms of the epidermal growth factor receptor (EGFR).” Journal of Medicinal Chemistry 56.17(2017):7025-48.

版权声明/免责声明
本文为授权转载作品,仅供感兴趣的个人谨慎参考,非商用,非医用、非投资用。
欢迎朋友们批评指正!衷心感谢!
文中图片为授权正版图片,或来自微信公共图片库,或取自网络
根据CC0协议使用,版权归拥有者。
任何问题,请与我们联系。衷心感谢!

推荐阅读
点击这里,欣赏更多精彩内容!本篇文章来源于微信公众号:药时代
发布者:药时代,转载请首先联系contact@drugtimes.cn获得授权
为好文打赏 支持药时代 共创新未来!