



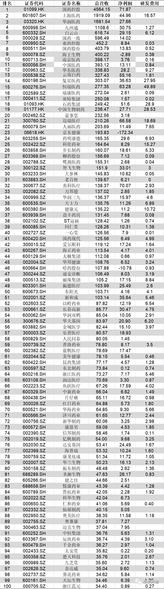
中国上市药企营收TOP100排名(2020)




推荐阅读
-
PPT分享 | WHO:国药中生、科兴生物灭活疫苗临床数据评估报告 -
国内PARP抑制剂三足鼎立局面将被打破,百济神州帕米帕利获批在即 -
新冠疫苗开发被誉为诺曼底登陆:美国十个月上市两款核酸疫苗的奇迹是如何发生的? -
疫苗大规模注射四个月后,美国的疫情怎么样了?(最新版本)阅读量已5.8万+ -
药时代故事汇|Keytruda、勃林格殷格翰、礼来、复宏汉霖、亚盛。。。 -
10万+励志长文!坐了40年冷板凳,现在拯救美国就靠她!(附:百条精选点评) -
收藏 | 拯救了美国的mRNA疫苗,制造过程首次揭秘 -
中国好BD|康宁杰瑞(Alphamab Oncology) -
中国好BD|华东医药(HUADONG MEDICINE) -
重磅消息扎堆!礼来乳腺癌新药中国供货开始、齐鲁引进MUC1 ADC药物、渤健多发性硬化新药获批、默沙东终止一新冠药物研发。。。
-
InnolandBio顺利完成收购CrownBio CVMD业务,CEO 董增军强调 “再启航,更专注,服务客户初心不变”


点击这里,欣赏更多精彩内容!
本篇文章来源于微信公众号:药时代
发布者:药时代,转载请首先联系contact@drugtimes.cn获得授权
为好文打赏 支持药时代 共创新未来!